Objectif général
L’objectif de ce programme est de donner une formation scientifique certes généraliste à de futurs ingénieurs ou vétérinaires mais en aucun cas superficielle. On apporte les outils de travail de base au fur et à mesure des besoins. On insiste sur la signification physique des grandeurs théoriques et l’importance d’actualiser régulièrement ses connaissances. On montre que la Physique est une science au quotidien, en donnant du sens à son enseignement et en rompant avec le cloisonnement disciplinaire. On propose des situations d'apprentissage ouvertes, contextualisées. On articule son enseignement aux autres disciplines pour donner une vision globale de la réalité. Dans cet objectif une concertation réfléchie au sein de l’équipe pédagogique est nécessaire.
Ce programme, découpé en huit parties, fait appel à l’approche théorique et à l’approche expérimentale. L’enseignement est dispensé sous forme de cours, de travaux dirigés et de séances expérimentales. Ces dernières peuvent être constituées soit de TP-cours pendant lesquels on alterne l’étude de notions théoriques et l’expérimentation, soit de travaux pratiques collectifs. Les activités expérimentales sont alors menées par les étudiants. C'est un moyen d'appropriation de techniques, de méthodes, mais aussi de concepts et de notions théoriques nouvelles. Ces travaux peuvent s’appuyer sur les technologies informatiques : expérience assistée par ordinateur, saisie et traitement des mesures, simulation.
L’ordre d’exposition du programme relève de la liberté pédagogique du professeur. Cependant, on prend soin d’effectuer un maximum de recoupements entre les différents thèmes afin d’éviter que ces sujets apparaissent comme des parties disjointes. On met l’accent sur le fait que la Physique peut souvent être traitée à travers des lois de conservation, par l’étude de bilans ou encore en procédant par analogie.
En proposant des limites clairement établies dans les commentaires, le programme s’efforce de restreindre l’usage d’un trop grand nombre de techniques complexes, essentiellement mathématiques. Cela afin d’assurer la meilleure maîtrise possible de celles qui sont à acquérir. On favorise l’analyse et la compréhension d’un phénomène physique pris dans sa globalité en montrant les liens ou les interactions avec les autres disciplines. On met en évidence aussi le transfert de certains modèles ou démarches d'une discipline à une autre. On s’appuie sur des cas concrets : transformations agro-industrielles, transport de matériaux grâce aux fluides chez les plantes, rôle de la gravitation dans la circulation sanguine, machines hydrauliques, irrigation ...
Il peut être intéressant, dans certains cas, de situer la construction d'une théorie dans son contexte d'origine et de décrire son évolution : principe de l’inertie par exemple. Les apprentissages ne sont plus centrés uniquement sur les contenus mais sur la capacité à résoudre des problèmes en mobilisant des connaissances. Il faut faire acquérir à l’étudiant non seulement des savoirs scientifiques et des raisonnements adéquats mais aussi développer chez lui l’esprit critique, la curiosité, l’ouverture d’esprit ...
Une liste non exhaustive de TP et TP-cours est donnée à titre indicatif à la fin du programme. La démarche expérimentale et l’exploitation de résultats expérimentaux peuvent faire l’objet de questions au concours. Cependant aucun principe de fonctionnement d’appareil spécifique ou de mesure n’est à connaître.
PROGRAMME |
RECOMMANDATIONS ET NIVEAU D’EXIGENCE |
PARTIE A : Grandeurs physiques et mesures |
|
Objectif : Appréhender la qualité d’une mesure, identifier les sources d'erreur et quantifier des erreurs |
|
1. Mesure |
|
- Dimension - Unités, système d’unité S.I - Equation aux dimensions |
On s’attache à vérifier l’homogénéité d’une formule. |
2. Qualité de la mesure et incertitude |
|
- Le vocabulaire de la métrologie - Evaluation des incertitudes du type A et du type B - Propagation des incertitudes - Application, la présentation des résultats: nombre de chiffres significatifs |
Les bases de la métrologie sont explicitées: fidélité, justesse, reproductibilité. La notion de grandeur d’influence est précisée. Pour les incertitudes de type A, on aborde le traitement statistique : moyenne, écart-type. La différentielle d’une fonction à plusieurs variables est utilisée comme outil. Le cas où les incertitudes sont corrélées n'est pas étudié. Cette partie ne doit pas donner lieu à un exposé théorique mais doit être mis en application tout au long de l'année. |
PARTIE B : Le mouvement, la dynamique du point matériel |
|
Objectif : acquérir les notions de base de la mécanique du point matériel |
|
1. Espace et temps |
|
- Définitions : référentiel, repère, coordonnées cartésiennes et cylindriques, base de projection - Définition des vecteurs position, vitesse et accélération - Loi de composition des vitesses pour deux repères en translation rectiligne |
La relativité n’est pas abordée. La base de Frenet n’est pas utilisée. Les coordonnées sphériques peuvent être présentées mais ne font pas l’objet d’exercices. On en profite pour décrire des mouvements simples : mouvement rectiligne (uniforme, sinusoïdal), mouvement circulaire. |
2. Forces |
|
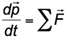
Quantité de mouvement Les 3 lois de Newton : - Référentiel galiléen, principe de l’inertie - Principe fondamental de la dynamique : - Principe des actions réciproques Exemples de lois de forces : - Champ de forces : o Force gravitationnelle o Force de Coulomb |
Les lois de Newton sont présentées sous forme de rappels. Le choix d’un référentiel galiléen est abordé et on remarque que le référentiel terrestre ne peut pas toujours être considéré comme galiléen. Toute étude en référentiel non galiléen est exclue. On admet que cette relation reste valide pour un solide en translation. La position du point d’application d’une force n’est pas discutée. Si le champ gravitationnel est introduit, il est alors confondu avec le champ de pesanteur à la surface de la Terre. La force électrique |
- Forces de contact : o Forces de liaison sans frottement o Force de frottement solide /solide avec et sans glissement (lois de Coulomb) o Force de frottement fluide/solide o Application : loi de Stokes |
Réaction d’un support, tension d’un fil, tension d'un ressort idéal. Le coefficient de frottement dynamique (f) est présenté comme le facteur de proportionnalité entre les composantes normale et tangentielle de la réaction du support sur le système lors du glissement. Le cône de frottement n’est pas abordé. La force de frottement fluide est à lier à la mécanique des fluides. La loi de Stokes (force de résistance exercée sur une particule sphérique rigide en mouvement de translation uniforme dans un fluide) est admise sans démonstration. Les conditions de validité de la loi sont à connaître. L’expression de toute autre loi de force que celles citées dans le programme doit être fournie à l'étudiant. Les forces de Lorentz et de Laplace ne sont pas abordées. |
3. Travail et énergie |
|
- Travail et puissance d'une force - Théorème de l'énergie cinétique - Cas des forces conservatives : exemple de l'interaction gravitationnelle (notion de champ) - Énergie potentielle - Energie mécanique - Théorème de l ’énergie mécanique - Notion de système conservatif - Système non conservatif : rôle des forces dissipatives |
La démonstration du théorème n’est pas exigible, mais il est important de montrer à l’étudiant le lien avec les lois de Newton. L’objectif est d’introduire l’énergie potentielle. La démonstration du théorème n’est pas exigible, mais il est important de montrer à l’étudiant le lien avec les lois de Newton. |
PARTIE C : Les états de la matière, pression, statique des fluides |
|
Objectif : décrire la matière à travers ses propriétés et des paramètres physiques |
|
1. Description d’un système |
|
- Niveaux d’observation, notion de fluide, de milieu continu et de particule de fluide - Système, variable, grandeur, fonction thermodynamique |
On aborde les niveaux microscopique, mésoscopique et macroscopique. On définit les systèmes ouverts et fermés, les grandeurs intensives et extensives. Notion d’homogénéité (uniformité de la température, de la pression et de la composition). |
2. Température et pression |
|
- Mesures, unités - Force pressante |
|
3. Le modèle du gaz parfait |
|
- Equation du gaz parfait - Mélange idéal de gaz parfaits |
La notion de choc élastique est introduite. On précise que tout choc n’est pas élastique. La modélisation d'un gaz parfait (monoatomique) doit permettre d'introduire qualitativement les notions de pression, d'énergie interne et de température.On signale les limites du modèle. Les équations d'état des gaz réels ne sont pas abordées. |
4. Les changements de phase et phases condensées |
|
- Etats d’un corps pur - Phases condensées |
On décrit qualitativement un ou deux exemples simples de diagramme (P et T) de corps pur (notamment celui de l’eau). On présente la pression de vapeur saturante. Les changements d’état de mélanges de gaz (notamment les degrés hygrométriques), les retards aux changements d’état et la variance ne sont pas abordés. On se limite à des phases condensées incompressibles et indilatables. |
5. Statique des fluides |
|
- Equation fondamentale de la statique des fluides Applications aux fluides incompressibles puis compressibles, mesure de pression - Théorème d’Archimède |
La démonstration de l’équation fondamentale de la statique des fluides n’est pas exigible. On donne des exemples de quelques pressions de fluide dans le corps humain. Le calcul de la résultante des forces pressantes appliquées sur une surface n’est pas exigible. On se limite au modèle de l’atmosphère isotherme pour les fluides compressibles. La démonstration du théorème d’Archimède n’est pas exigible. |
PARTIE D : Thermodynamique |
|
Objectif : définir les grandeurs thermodynamiques, énoncer et appliquer le premier et le deuxième principe de la thermodynamique, décrire l’évolution et les échanges énergétiques d’un système ferme |
|
1. Evolution d’un système ferme |
|
- Notion de transformations (élémentaire, finie, cyclique, brutale, quasi-statique, ...) - Bilan d’une fonction d’état extensive lors d’une transformation - Les échanges d’énergie o Travail des forces pressantes (représentation graphique et applications à différents cas : isobare, monobare, isochore, isotherme pour un gaz parfait) o Transferts thermiques (transformation adiabatique, source de chaleur, transformation isotherme et monotherme). |
On montre la nécessité de définir un système, d’introduire les notions de grandeur échangée, créée de manière algébrique, de grandeur conservative... On privilégie une approche concrète. On réserve la notation d pour les grandeurs qui admettent des différentielles totales exactes (fonctions d’état par exemple) et δ pour les autres quantités élémentaires. On peut aborder la notion de puissance thermique et mécanique. Cela peut être l’occasion d’introduire les caractéristiques du transfert thermique (sans nécessairement invoquer la loi de Fourier) et éventuellement rappeler les trois formes de transfert thermique (rayonnement, conduction, convection). On montre que lors d’un changement d’état, on peut avoir un transfert thermique sans qu’il n’y ait une variation de température. |
2. Bilan d’énergie pour un système ferme |
|
| - Energie interne et premier principe o Capacité thermique à volume constant o Première loi de Joule pour un gaz parfait o Cas d’une phase condensée - La fonction d’état : enthalpie o Capacité thermique à pression constante o Deuxième loi de Joule pour un gaz parfait o Changement d'état et enthalpie de changement d'état d'un corps pur à T et P constantes |
Principe de conservation ou d’équivalence. Enoncé et conditions de validité. On étudie le transfert thermique lors d'une évolution non adiabatique en utilisant le premier principe. On insiste sur le fait que le travail et le transfert thermique (ou chaleur) correspondent à des échanges d'énergie. La capacité thermique Cv est définie comme la dérivée partielle de l’énergie interne par rapport à la température à volume constant. On ne développe pas l'étude des capacités thermiques molaires en fonction de la température : on donne les valeurs couramment admises, aux températures usuelles, dans les cas monoatomique et diatomique. Pour une phase condensée indilatable et incompressible : dU = C dT Le principe d'équipartition de l'énergie n’est pas abordé. La capacité thermique Cp est définie comme la dérivée partielle de l’enthalpie par rapport à la température à pression constante. La relation de Mayer n’est étudiée que dans le cas du gaz parfait. |
3. Bilan d’entropie pour un système ferme |
|
- Le second principe : un principe d’évolution - Entropie créée, échangée - Réversibilité, irréversibilite |
On peut insister sur l’insuffisance du premier principe pour interpréter certains phénomènes. Il est judicieux de faire apparaître le second principe sous la forme d’un bilan d’entropie : entropie créée par irréversibilité, entropie échangée par transfert thermique. L’interprétation de l’entropie en termes de mesure de désordre est qualitative. |
4. Identité thermodynamique |
|
- Relation entre U et S et les autres grandeurs extensives - Relation entre H et S - Applications : o Variation d’entropie d’un gaz parfait, lois de Laplace, cas d’une phase condensée o Bilan d'entropie lors d'un changement d'état réversible à T et P fixées pour un corps pur |
On insiste sur les conditions restreintes de la validité des identités (système fermé, homogène de composition fixée). La démonstration des lois de Laplace et leurs conditions d'application sont exigibles. |
5. Les machines thermiques |
|
- Machines thermiques motrices et réceptrices - Rendement des moteurs - Coefficient d'efficacité des récepteurs - Théorème de Carnot |
Machines monothermes et dithermes On insiste sur les applications pratiques (en précisant la modélisation) : moteurs et centrales thermiques, thermopompes, installations frigorifiques. Il est recommandé d’étudier en TD ou en TP un cycle d’une machine réelle (par exemple, le moteur à explosion : du moteur à 4 temps au cycle de Beau de Rochas) et d’expliquer ainsi la démarche de modélisation. Le cas de sources de températures variables n’est pas une compétence exigible au concours. |
PARTIE E : Les phénomènes de transport |
|
Objectif : appréhender les phénomènes de transport et leurs implications dans différents domaines, établir la similitude des phénomènes de transport (électrique, thermique, matière) |
|
1. Caractérisation |
|
- Notion de flux, débit - Densité de courant, ligne de courant, champ de vitesse - Equation de bilan (quantité conservative et non conservative) - Ecoulement permanent, transitoire, unidimensionnel, unidirectionnel |
Les exemples sont choisis en mécanique des fluides, conduction électrique, diffusion, conduction thermique. On travaille par analogie entre les phénomènes. On se limite à des équations de bilan intégrales. |
2. Transport linéaire |
|
- Loi d’Ohm, loi de Fick, loi de Fourier - Résistances électrique, thermique - Résistances en série et en parallèle - Résistance équivalente - Résistivite |
Pour éviter une complexité mathématique, on se limite à des problèmes unidimensionnels (transfert axial, transfert radial) en régime permanent. Seule la première loi de Fick est au programme. On fait le lien avec la notion de bilan introduite lors du premier principe. Le concept de flux est défini qualitativement. |
PARTIE F : La dynamique des fluides |
|
Objectif : acquérir les bases de la dynamique des fluides pour interpréter des phénomènes liés à des écoulements |
|
1. Bilan d’énergie mécanique |
|
- Fluide incompressible - Régime permanent sur système ouvert à frontière fixe ; - Théorème de Bernoulli |
On se limite à un fluide incompressible en régime permanent. On utilise les équations aux dimensions pour lier les énergies volumiques et la pression. On réalise un bilan énergétique dans un cas général (avec dissipation d’énergie) puis on montre que lorsque certaines hypothèses sont vérifiées, ce bilan permet d’obtenir la relation de Bernoulli. On introduit une relation de Bernoulli généralisée à un fluide non parfait par exemple dans le cas d’une installation hydraulique (perte de charge). L’objectif n’est pas de savoir démontrer la relation de Bernoulli, mais de comprendre l’origine et le sens physique de chaque terme et de maîtriser les conditions de validité de cette relation. |
2. Applications |
|
- Effet Venturi, tube de Pitot, circulation d’un liquide dans une canalisation sous l’effet de la gravité et/ou d’une pompe |
On aborde la notion de puissance mécanique, puissance mécanique dissipée par frottement et puissance mécanique apportée au système par une pompe par exemple. Le bilan de quantité de mouvement (théorème d’Euler) n’est pas abordé. |
3. Applications |
|
- Mise en évidence de la viscosité - Loi de Poiseuille |
On aborde les viscosités dynamique et cinématique. La notion de fluide newtonien et non newtonien n’est pas exigible. On donne des ordres de grandeurs de viscosité pour des exemples choisis dans le domaine de la biologie. Il s’agit de privilégier les applications. La loi de Poiseuille est la seule expression de perte de charge exigible. Ses conditions de validité sont à connaître. Elle est admise sans démonstration, mais on vérifie son homogénéité dimensionnelle. |
4. Turbulence |
|
- Régimes d’écoulement - Nombre de Reynolds |
On utilise le nombre de Reynolds pour déterminer le régime d’écoulement (laminaire, turbulent, rampant). On revient sur la loi de Stokes. On signale que le modèle « F = kv » n’est plus vérifié pour les grands nombres de Reynolds (lien avec la mécanique). Application aux mesures de viscosité, à la sédimentation. |
PARTIE G : Electrocinétique |
|
Objectif : acquérir les bases de l’électrocinétique |
|
1. Les lois de l’électrocinétique |
|
- Quelques concepts fondamentaux : courant électrique, intensité, tension, conventions d’orientation récepteur et générateur - Loi des nœuds, loi des mailles |
Les conventions récepteur et générateur sont introduites dès le départ afin d’être appliquées dans toutes les relations utilisées. |
2. Dipôles linéaires |
|
- Dipôle passif : conducteur ohmique - Dipôles actifs : source idéale de tension, source idéale de courant, dipôle actif linéaire (modèles de Thévenin et Norton). |
Rappel : Un comportement linéaire est décrit par une équation différentielle linéaire à coefficients constants. On modélise un dipôle linéaire actif par une source de tension ou une source de courant et une résistance. |
3. Associations de dipôles en série et en parallèle |
|
- Diviseurs de tension et de courant |
|
4. Régime transitoire |
|
- Bobine et condensateur: présentation des dipôles et associations - Réponse d’un dipôle (R,C) série à un échelon de tension |
La bobine et le condensateur sont présentés comme des réservoirs d’énergies cinétique ou potentielle. L’inductance L et la capacité C sont présentées comme des grandeurs caractérisant respectivement la bobine et le condensateur, tout comme R pour le conducteur ohmique, sans plus de développement. On insiste sur le comportement limite en régime permanent. On admet la relation intensité-tension. Cette partie doit être traitée essentiellement de manière expérimentale sous forme de TP-cours, de TP et de simulations, de manière à présenter les notions de régime transitoire, temps de réponse, régime permanent... Le dipôle (R,L) doit être traité en TD. On insiste alors sur les analogies entre les deux dipôles. |
PARTIE H : Oscillateurs linéaires |
|
Objectif : caractériser un oscillateur linéaire et mettre en évidence l’analogie électricité-mécanique des oscillateurs |
|
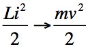
1. Oscillateur non amorti |
|
o Oscillateur électrique : circuit LC, interprétation énergétique o Oscillateur mécanique : pendule élastique, interprétation énergétique o Analogie électricité-mécanique : o Intérêt et caractérisation des grandeurs sinusoïdales : amplitude, phase et phase à l’origine, pulsation et période |
Les conventions récepteur et générateur sont introduites dès le départ afin d’être appliquées dans toutes les relations utilisées. On précise qu’un signal périodique peut être décomposé en une somme de signaux sinusoïdaux. Le déphasage entre deux grandeurs physiques peut être défini à cette occasion. |
2. Régime linéaire forcé sinusoïdal |
|
| o Notation complexe, impédance complexe Z, associations de dipôles en série et en parallèle o Résonance : circuit RLC ou mécanique ; résonances en intensité et en tension. |
On traite ces notions sous forme de TP-cours : mise en évidence des grandeurs, méthodes de mesure, mise en évidence qualitative de l’influence de la fréquence du générateur sur les caractéristiques du signal « en sortie ». On définit : fréquence de résonance, pulsations propre et réduite, facteur de qualité. Le calcul de la largeur de bande passante n’est pas présenté. On insiste sur la signification physique des grandeurs théoriques : amplitude et déphasage. Les grandeurs efficaces sont définies qualitativement ; leur expression en régime sinusoïdal forcé est admise. La notion de filtre peut être introduite par un TP-cours et au travers d’exercices (passe-haut, passe-bas, ...). Toutefois, aucune connaissance concernant les filtres n’est exigible. |
Liste de travaux pratiques et de travaux pratiques-cours pouvant être mis en place
| TP |
|
TP cours |
| Analyse d'un mouvement à l'aide d'un enregistrement (aspect cinématique, dynamique, énergétique) |
|
Force de frottement solide/fluide |
| Mesure de capacités thermiques (Cp) |
|
Statique des fluides Théorème d’Archimède |
| Mesure de viscosité La loi de de Stokes La loi de Poiseuille |
|
Transition de phase |
| Réponse d’un dipôle (R,C) série à un échelon de tension |
|
Les applications de la relation de Bernoulli |
| Les oscillations non amorties en électricité et mécanique. Interprétation énergétique |
|
Les filtres (passe- haut, passe-bas, ...) |
| Détermination d’une impédance en régime linéaire forcé sinusoïdal Résonance |
|
|











